您现在的位置: 主页 > 技术分享 > 硬件知识

微带线特性阻抗计算器 | 微带线阻抗计算软件

在射频电路及高速数字电路设计的过程中,传输线阻抗控制必不可少。微带线是最受欢迎的传输线形式,给定微带线线宽,微带线厚度,PCB板材的相对介电常数ε,这款计算器便可以快速地计算出微带线的特征阻抗Zo,而且这款计算器的准确度丝毫不逊于商业软件。

详情点击:http://www.elecfans.com/tools/weidaixianzukang.html
以下为微带线特性阻抗计算器(计算软件):

关于相对介电常数ε与等效介电常数εeff

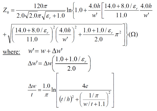
微带线阻抗计算公式:

关于微带线特征阻抗Zo